Skip to content
笔记站
搜索文档
K
Main Navigation
首页
知识积累
数学
物理
化学
生物
英语
考试
学习记录
一级建造师
注册岩土
工作
规范
项目
兴趣
编程学习
软件学习
PS
AE
AU
其他
帮助
冷知识
主题
侧边栏
Return to top
目录
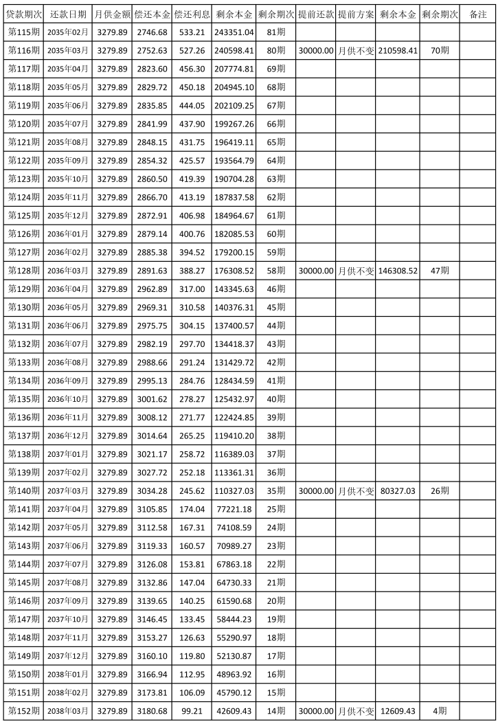
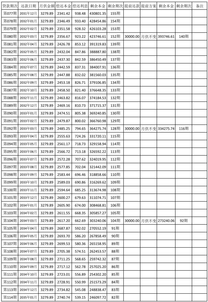
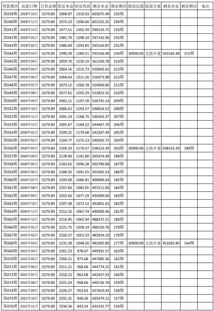
每个月公积金还款